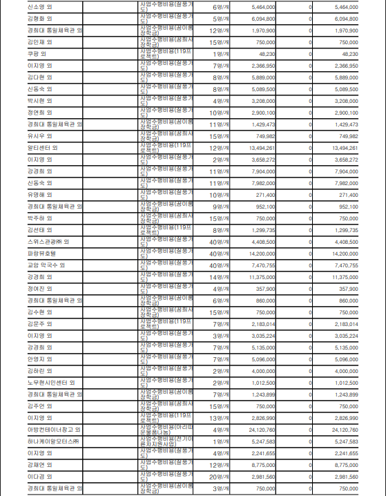
2025년 연간 기부금 모금액 및 활용실적
페이지 정보

본문




- 다음글2026년 정부조달기술진흥협회 후원 "위기 임산부 및 위기영아 지원 사업" 신청하세요~ 26.03.31
댓글목록
등록된 댓글이 없습니다.
공지사항




등록된 댓글이 없습니다.
단체명 : 변화된미래를만드는미혼모협회 인트리
대표 : 최형숙
고유번호 : 653-80-00408
주소 : 서울특별시 종로구 율곡로 10길 15-6(권농동 154)
개인정보보호책임자 : 최형숙
Contact Us
전화 : 02-827-0032
메일 : intree0501@naver.com
평일 AM 09:00 - PM 18:00
점심 PM 12:00 - PM 13:00
휴무 토요일, 일요일, 공휴일
Copyright © www.intree.or.kr All rights reserved.
단체명 : 변화된미래를만드는미혼모협회 인트리
대표 : 최형숙
고유번호 : 653-80-00408
주소 : 서울특별시 종로구 율곡로 10길 15-6(권농동 154)
개인정보보호책임자 : 최형숙
Contact Us
전화 : 02-827-0032
메일 : intree0501@naver.com
평일 AM 09:00 - PM 18:00
점심 PM 12:00 - PM 13:00
휴무 토요일, 일요일, 공휴일
Copyright © www.intree.or.kr All rights reserved.